Головне управління статистики у Чернігівській області

СОЦІАЛЬНО-ЕКОНОМІЧНЕ СТАНОВИЩЕ ЧЕРНІГІВСЬКОЇ ОБЛАСТІ

у 2008 році

ПРОМИСЛОВІСТЬ

Промисловими підприємствами області (без малих) у 2008р. реалізовано продукції на суму 9,9 млрд.грн.

У структурі реалізованої промислової продукції товари широкого та тривалого використання становили 46,2%, сировинна продукція - 46,6%, продукція інвестиційного призначення - 7,2%.

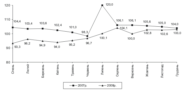
Обсяги промислового виробництва за 2008р. залишилися на рівні 2007р.

Краще, ніж у 2007р., працювали підприємства 12 районів області. Значний приріст одержано в Борзнянському, Козелецькому, Корюківському, Куликівському, Ріпкинському та Щорському районах.

Зміни обсягів промислового виробництва
(наростаючим підсумком у % до відповідного періоду попереднього року)

У добувній промисловості обсяги продукції зросли на 0,6%. Більше видобуто торфу та природних пісків. Водночас скоротився видобуток сирої нафти, природного газу, менше вироблено торф'яних брикетів та напівбрикетів.

У переробній промисловості виробництво зменшилося на 0,3%.

На підприємствах із виробництва харчових продуктів, напоїв та тютюнових виробів обсяги продукції скоротилися на 1%.

На 3-39% зменшилися обсяги у виробництві напоїв, молочних продуктів і морозива, олії та тваринних жирів, борошномельно-круп'яній промисловості, виробництві цукру. При цьому на 8-33% зросли обсяги продукції у виробництві м'яса та м'ясних продуктів, хлібобулочних виробів, переробленні та консервуванні овочів і фруктів.

На третину зросло виробництво яловичини й телятини свіжих чи охолоджених та макаронних виробів, на 26% - обробленого рідкого молока, на 15% - кисломолочних продуктів, на 3% - сиру свіжого. Водночас на 72% скоротилося виробництво нерафінованої соняшникової олії, на чверть - масла вершкового, на 16% - житнього та пшеничного борошна, на 9% - м'яса й субпродуктів харчових свійської птиці свіжих чи охолоджених, на 7,5 % - ковбасних виробів.

Підприємства легкої промисловості зменшили виробництво продукції на 8,6%, зокрема в текстильному виробництві - на 17,1%. На 80% скоротились обсяги льону розволокненого, менше вироблено вовняних та бавовняних тканин, кордної тканини для шин. У виробництві одягу й хутра та виробів із хутра обсяги продукції зменшилися на 0,5%. Взуття вироблено 913 тис. пар, що на 2,7% менше, ніж у 2007р.

В обробленні деревини та виробництві виробів із деревини обсяги продукції збільшилися на 5,6%. Зросло виробництво паркету дерев'яного щитового, панелей дерев'яних фанерованих. При цьому скоротилося виробництво деревини уздовж розпиляної чи розколотої, вікон, піддонів дерев'яних, дверей, їх рам та порогів.

Підприємства целюлозно-паперового виробництва та видавничої діяльності збільшили виробництво продукції на 20,7%. Зросло виробництво шпалер, шкільних та канцелярських товарів, друкування книг, журналів та газет. Натомість менше вироблено паперу побутового та санітарно-гігієнічного призначення.

У хімічній та нафтохімічній промисловості обсяги продукції зменшилися на 7,1%, у тому числі в хімічному виробництві - на 8,6%, у виробництві гумових та пластмасових виробів - на 0,1%.

Знизився випуск пластмас у первинних формах, волокон хімічних, штучних оболонок із затверділих протеїнів. Водночас більше вироблено фарб та лаків на основі полімерів, прогумованих тканин, крім корду, мила і препаратів для використання в якості мила, засобів миючих та для чищення.

На підприємствах із виробництва іншої неметалевої мінеральної продукції обсяги продукції зменшилися на 8,1%. Знизилося виробництво керамічної невогнетривкої цегли, збірних елементів конструкцій для будівництва з цементу, бетону чи штучного каменю. Водночас більше вироблено бетонних та будівельних сумішей.

У металургійному виробництві та виробництві готових металевих виробів обсяги продукції збільшилися на 11,5%. Зросло виробництво резервуарів та цистерн металевих, сейфів. Натомість менше вироблено різних металевих конструкцій, котлів центрального опалення.

На підприємствах машинобудування обсяги продукції скоротилися на 1,0%. На підприємствах із виробництва електричного, електронного та оптичного устаткування обсяги знизилися на 21,8%, машин та устаткування - на 7,0%. Натомість у виробництві транспортних засобів та устаткування приріст становив 7,8%.

Зросло виробництво вогнегасників, машин для оброблення гуми або пластмас, автобусів, медичних меблів. Водночас зменшилося виробництво верстатів для оброблення дерева та інших матеріалів, талів та підйомників, пожежних машин.

У виробництві та розподіленні електроенергії обсяги продукції зросли на 5,8%. Виробництво електроенергії зросло на 6,4%, а теплоенергії - скоротилося на 8,7%.

СІЛЬСЬКЕ ГОСПОДАРСТВО

Обсяг продукції сільського господарства в усіх категоріях господарств, за розрахунками, збільшився проти 2007р. на 3%. При цьому в сільськогосподарських підприємствах відбулося підвищення на 14,3%, а в господарствах населення - зменшення на 3,2%.

Зміни обсягів сільськогосподарського виробництва
(наростаючим підсумком у % до відповідного періоду попереднього року)

У рослинництві обсяги продукції зросли на 7,5%, у т.ч. в сільськогосподарських підприємствах на 23,9%. Обсяг рослинницької продукції в господарствах населення зменшився на 1,9%.

За попередніми даними, в області господарствами всіх категорій одержано 2107,0 тис.т зерна (включаючи кукурудзу) у вазі після доробки. З них сільськогосподарськими підприємствами вироблено 1894,3 тис.т (89,9% загального валового збору), господарствами населення - 212,7 тис.т (10,1%). Порівняно з 2007р., виробництво зерна збільшилося на 27,6%, що зумовлено як зростанням зібраної площі на 13,5%, так і збільшенням урожайності на 12,5%. Урожайність зернових культур у сільськогосподарських підприємствах була вищою, ніж у господарствах населення, на 4,2 ц і становила 32,9 ц з гектара.

У 2008р. одержано кращий, порівняно з попереднім роком, урожай проса - 7,3 тис.т (в 1,9 раза), жита - 228,1 тис.т (в 1,8 раза), вівса - 167,0 тис.т (в 1,6 раза), пшениці - 575,4 тис.т (на 36,3%), ячменю - 273,1 тис.т (на 35,8%), гречки - 17,1 тис.т (на 26,8%), кукурудзи на зерно - 804,1 тис.т (на 7,3%).

Загальне виробництво соняшника на зерно становило 36,8 тис.т і, порівняно з 2007р., збільшилося у 2,9 раза, що зумовлено збільшенням посівних площ (у 2,5 раза) та врожайності (на 14,7%).

Цукрових буряків (фабричних) зібрано на 11% менше, ніж у 2007р. Валовий збір солодких коренів становив 367,7 тис.т.

Виробництво льону-довгунця, виробниками якого є тільки сільськогосподарські підприємства, зменшилося на третину й становило лише 1,1 тис.т.

Картоплі накопано 1507,0 тис.т (на 6,4% менше).

Виробництво овочів збільшилося майже на чверть і становило 238,1 тис.т.

Обсяги виробництва плодоягідної продукції зменшилися на 9,5% і становили 14,9 тис.т.

Господарствами населення у 2008р. вирощено 95% картоплі, 94% овочів, 10% зерна, 15% цукрових буряків (фабричних).

Обсяг продукції тваринництва проти 2007р. знизився на 4,9%, у т.ч. в сільськогосподарських підприємствах - на 3,8%, у господарствах населення - на 5,5%.

У цілому в області виробництво м'яса (реалізація на забій худоби та птиці) становило 71,1 тис.т (на 16,8% менше 2007р.), молока - 580,1 тис.т (на 0,3% більше), яєць усіх видів - 270,2 млн.шт. (на 7,0% менше). У сільськогосподарських підприємствах, порівняно з 2007р., відбулося збільшення обсягів виробництва молока на 1,1 тис.т (на 0,7%), але зменшилося виробництво м'яса на 4,5 тис.т (на 13,8%) та яєць - на 0,5 млн.шт. (на 0,9%).

Питома вага господарств населення в загальному виробництві м'яса становила 61%, молока - 72%, яєць - 80%.

За розрахунками, на 1 січня 2009р. в області налічувалося 277,5 тис. голів великої рогатої худоби (на 5,9% менше, ніж рік тому), у т.ч. 159,1 тис. корів (на 6,4% менше), 215,3 тис. свиней (на 12,6% менше), 34,4 тис. овець та кіз (на 3,6% менше).

У господарствах населення утримується 42% великої рогатої худоби, 62% корів, 53% свиней, 92% овець та кіз, 83% птиці від загальної чисельності в області.

За 2008 рік аграрними підприємствами вирощено 30,0 тис.т худоби та птиці (проти 2007р. на 1,9 тис.т (6,8%) більше, ніж реалізовано на забій.

Надій молока від однієї корови збільшився на 84 кг і становив 3096 кг. Найвищі надої були в сільськогосподарських підприємствах Срібнянського (5178 кг) та Прилуцького (4161 кг) районів.

Продуктивність курей-несучок зменшилася на 2,4% і становила 245 яєць.

Станом на 1 січня п.р. в аграрних підприємствах було в наявності кормів усіх видів 273,1 тис.т корм.од., що на 13,5% більше, ніж рік тому. У середньому в області в розрахунку на одну умовну голову припадало кормів усіх видів 16,2 ц корм.од. проти 13,6 торік.

БУДІВЕЛЬНА ДІЯЛЬНІСТЬ

Підприємствами області за 2008р. виконано будівельних робіт на суму 786 млн.грн., що на 27,2% менше, ніж у 2007 році.

Зміни обсягів будівельних робіт
(наростаючим підсумком у % до відповідного періоду попереднього року)


Серед суб'єктів різних видів будівельної діяльності на 34,9% зменшились обсяги робіт із будівництва будівель і споруд, на 51,7% - із завершення будівництва.

В обсязі виконаних будівельних робіт на капітальний ремонт припадало 13,3% (104,5 млн.грн.), на поточний - 3,2% (24,9 млн.грн.) У порівнянні з 2007р. обсяги робіт із капітального ремонту зменшилися на 71,9%, з поточного - на 25,4%.

У 2008р. в області здійснювали будівельну діяльність 184 підприємства, з яких 63,6% зменшили обсяги будівництва. Це зумовлено падінням обсягів робіт із капітального ремонту доріг та будівництва житла. Скорочення зафіксовано в 16 районах області та містах Чернігів, Ніжин.

ТРАНСПОРТ

Транспортними підприємствами області упродовж 2008 року доставлено замовникам 3075,1 тис.т вантажів, що на 14,3% менше, ніж у 2007р. За рахунок міжнародних перевезень вантажооборот зріс на 20,2% і становив 1095,9 млн.ткм.

Вантажооборот підприємств транспорту
(наростаючим підсумком у % до відповідного періоду попереднього року)


Підприємствами автомобільного транспорту, з урахуванням перевезень, виконаних фізичними особами-підприємцями, перевезено 2606,5 тис.т вантажів, вантажооборот виконано в обсязі 911,3 млн.ткм. Це, відповідно, на 1,3 та 30,2% більше, ніж за 2007 рік.

Наростили обсяги вантажоперевезень та вантажообороту транспортники міст Чернігів, Прилуки та 14 районів області.

Фізичні особи-підприємці на власному автотранспорті виконали 65,3% загального обсягу вантажоперевезень та 81,6% - вантажообороту.

Пасажирським транспортом області перевезено 133,1 млн. пасажирів, що на 0,2% більше, ніж у 2007р. Пасажирооборот виконано в обсязі 1111,3 млн.пас.км (на 8,2% менше).

Пасажирським автотранспортом, з урахуванням перевезень, виконаних фізичними особами-підприємцями, перевезено 91,2 млн. пасажирів, що на 2,3% більше, ніж у 2007р. Обсяг виконаного пасажирообороту скоротився на 9,1% і становив 922,7 млн.пас.км.

Наростили обсяги пасажирських перевезень та пасажирообороту підприємства м.Чернігова, Бахмацького, Бобровицького та Куликівського районів. Автотранспортом обласного центра виконано 63% загального обсягу пасажирських перевезень та 50% пасажирообороту.

Частка перевезених пасажирів та пасажирообороту, виконаних фізичними особами-підприємцями на власному автотранспорті, становила, відповідно, 35,3 та 37,6% загального обсягу.

Обсяг пасажирських перевезень, виконаний тролейбусним транспортом, скоротився на 3,9%.

Річковим транспортом здійснювалися перевезення вантажів у внутрішньому та закордонному сполученнях. Питома вага перевезень у закордонному сполученні становила 58%.

Обсяги вантажних перевезень зменшилися за рік на 53,8%, а вантажообороту - на 12,8%.

Послугами річкового транспорту скористалося на 12,1% пасажирів менше, ніж у 2007 році, пасажирооборот скоротився теж на 12%.

ЗВ'ЯЗОК

За січень-листопад 2008р. підприємствами зв'язку області було надано послуг на 1087,3 млн.грн., що на 18,4% більше, ніж у відповідному періоді 2007р. Населенню надано послуг на 331,1 млн.грн. (на 24,2% більше).

Серед видів зв'язку найбільшим попитом користувався мобільний - 0,4% загального обсягу. Частка телефонного зв'язку становила 11,9%.

Про попит на окремі види зв'язку свідчать темпи зростання доходів: комп'ютерного - в 1,8 раза, мобільного - на 24%, проводового мовлення - на 18,4% (за рахунок значного підвищення тарифів), поштового - на 6,3% та міського телефонного зв'язку - на 2,9%.

У той же час постійно зменшується попит на такі види зв'язку: передачу і прийом телевізійних та радіопрограм, радіозв'язок - на 25,3% за рік, телеграфний - на 23,7%, телефонний міжміський - на 9,4% та сільський - на 6,6%.

За попередніми даними підприємствами, які надавали послуги поштового зв'язку, за 2008р. було оброблено листів, карток та бандеролей (простих, рекомендованих та з оголошеною цінністю) 30,6 млн. одиниць (у 2007 році - 29,4 млн.); посилок (звичайних та з оголошеною цінністю) -1,5 млн. (проти 1,2 млн.); поштових переказів - 1,4 млн. (як і у 2007р.); пенсійних виплат - 4,5 млн. (проти 4,3 млн.); періодичних друкованих видань (газет та журналів) за передплатою та в роздріб - 94,6 млн. (проти 90,4 млн.).

Працівниками підприємств електрозв'язку було доставлено 70,7 тис. та відправлено 36,8 тис. телеграм, надано 35,1 млн. міжміських телефонних розмов (включаючи міжнародні). За 2007 рік ці показники, відповідно, становили 88,5тис., 57,6 тис., 41,5 млн.

Мережа проводового мовлення області на 1 січня 2009р. налічувала 117,9 тис. основних радіотрансляційних точок, у тому числі 101,9 тис. - у населення. За рік їх загальна кількість зменшилася майже на 48 тис. (28,9%). Щільність основних радіотрансляційних точок на 1000 осіб наявного населення, у середньому в області, становила 104 одиниці (132 - у міських поселеннях та 59 - у сільській місцевості).

Телефонна мережа області на кінець минулого року нараховувала 716 універсальних таксофонів та 111 телефонних апаратів переговорних пунктів. Рік тому ці показники, відповідно, становили 844 та 132.

ФІНАНСИ

За даними Головного фінансового управління Чернігівської облдержадміністрації, доходи місцевого бюджету області за січень-листопад 2008р. становили 2569,8 млн.грн., видатки - 2466,8 млн.грн.

Доходна частина бюджету, в основному, сформована за рахунок дотацій із державного бюджету (60,9% загальної суми) та податкових надходжень (32,3%). Значну частину загальної суми доходів становить прибутковий податок із доходів фізичних осіб - 25,7% (660,7 млн.грн.).

У структурі видатків найбільші кошти з бюджету направлені на освіту - 807,7 млн.грн. (32,7% загальної суми видатків), охорону здоров'я -559,4 млн.грн. (22,7%), соціальний захист та соціальне забезпечення -487,5 млн.грн. (19,8%). На державне управління було витрачено 131,1 млн.грн. (5,3%).

Фінансовий результат підприємств від звичайної діяльності до оподаткування (крім підприємств малого бізнесу та бюджетних установ) за січень-листопад 2008р. був збитковим і становив 130,1 млн.грн. За відповідний період 2007р. цей показник був прибутковим і дорівнював 83,6 млн.грн.

Прибутковими підприємствами, частка яких у загальній кількості становила 63,9%, отримано 412,1 млн.грн. прибутку, що на 43,9% більше, ніж за січень-листопад 2007р. Основна його частина сформована в промисловості (64,2%). Серед промислових підприємств найбільші прибутки отримали підприємства целюлозно-паперового виробництва, видавничої діяльності (78,6 млн.грн.), виробництва та розподілення електроенергії, газу та води (72,7 млн.грн.), виробництва харчових продуктів, напоїв та тютюнових виробів (60,2 млн.грн.).

Збитково працювали 36,1% підприємств, що на 3,3 в.п. більше, ніж за січень-листопад минулого року. Цими підприємствами отримано 542,2 млн.грн. збитків (у 2,7 раза більше). Найбільші суми збитків спостерігалися в промисловості (322,1 млн.грн.), на підприємствах, що займаються операціями з нерухомим майном, орендою, інжинірингом та наданням послуг підприємцям (85,7 млн.грн.), торгівлі, ремонту автомобілів, побутових виробів та предметів особистого вжитку (83,0 млн.грн.).

За даними Управління Національного банку України в Чернігівській області, залишки вкладів населення в банківських установах області на 1 грудня 2008р. становили 2561,9 млн.грн. (з нарахованими відсотками), з них 68,3% - у національній валюті. З початку року вклади населення зросли на 501,0 млн.грн., або на 24,3%.

ЗОВНІШНЬОЕКОНОМІЧНА ДІЯЛЬНІСТЬ

У січні-листопаді 2008р. обсяг експорту зовнішньої торгівлі товарами становив 394,2 млн.дол.США, що на 21,0% більше, ніж у січні-листопаді 2007р., імпорту - 348,4 млн.дол.США (на 37,9% більше). Позитивне сальдо зовнішньої торгівлі товарами склало 45,8 млн.дол. проти 73,3 млн.дол. у січні-листопаді 2007р. Коефіцієнт покриття експортом імпорту становив 1,13 проти 1,29.

Зовнішньою торгівлею товарами займалися 355 підприємств та організацій області. Партнерами їх були 96 країн світу (з них 25 - члени ЄС). Активно працювали в цій галузі підприємства міст Чернігів, Прилуки та Корюківського району. Їх частка в загальному обсязі експорту становила 87,2%, імпорту - 88,6%.

Експорт країнам СНД становив 69,7% загального обсягу області, країнам ЄС - 20,5%, решті країн світу - 9,8%.

Товари з області експортувалися до 78 країн світу. Переважаючу частку (76,9%) товарів відправляли до Російської Федерації, Білорусі, Польщі, Італії, Молдови, Туреччини та Грузії.

Основу товарної структури експорту області формували текстиль та текстильні вироби, вироби з паперу та картону, продукція рослинництва та тваринництва, наземні транспортні засоби, деревина та вироби з неї. Їх частка в загальному обсязі експорту становила 70,2%.

Імпортовано в область 58,4% всіх товарів з країн ЄС, 20,7% - з країн СНД, 20,9% - з решти країн світу.

Товари надходили з 78 країн світу, вагома частка (70,7%) -з Німеччини, Російської Федерації, Франції, Італії, Польщі, Бразілії, Китаю, Білорусі, Нідерландів та Румунії.

У структурі імпорту 81,2% визначали котли, машини, апарати і механічні пристрої, готові харчові продукти, папір та картон, продукція хімічної та пов'язаних із нею галузей промисловості, полімерні матеріали, пластмаси та текстиль.

РОЗДРІБНА ТОРГІВЛЯ ТА
РЕСТОРАННЕ ГОСПОДАРСТВО

Оборот роздрібної торгівлі (до якого включено роздрібний товарооборот підприємств роздрібної торгівлі, розрахункові дані щодо обсягів продажу товарів на ринках і фізичними особами-підприємцями) за 2008р. становив 8247,0 млн.грн., що на 19,1% більше, ніж у 2007 році.

Оборот ресторанного господарства (з урахуванням обороту фізичних осіб-підприємців) становив 284,8 млн.грн. і збільшився за рік на 4,4%.

Обсяг роздрібного товарообороту підприємств, які здійснюють діяльність із роздрібної торгівлі та ресторанного господарства, становив 3797,1 млн.грн., що в порівнянних цінах більше обсягу 2007р. на 16,3%.

НЕФІНАНСОВІ ПОСЛУГИ

За січень-листопад 2008 року обсяг реалізованих послуг (включаючи ПДВ) становив 1409,4 млн.грн. проти 1118,1 млн.грн. за січень-листопад 2007р.

Населенню реалізовано послуг на суму 444,5 млн.грн., або 31,5% загального обсягу. Найбільша ця частка в Борзнянському, Городнянському, Ічнянському, Н.-Сіверському, Семенівському й Талалаївському районах (від 59,9 до 68%), найнижча - у Щорському районі (12,4%), містах Ніжин (20,8%), Прилуки (28,7%) та Чернігів (30%).

Близько половини загального обсягу послуг (46,4%) реалізовано підприємствами обласного центра.

У структурі реалізованих послуг за видами економічної діяльності відбулися незначні зміни. Найбільша частка припадає на послуги пошти та зв'язку (38,1%) і транспорту (27,3%). У відношенні до січня-листопада 2007р. частка послуг пошти та зв'язку зменшилася на 4,4 в.п., транспорту - збільшилася на 2,4 в.п.

ЦІНИ І ТАРИФИ

Індекс споживчих цін (індекс інфляції) за 2008 рік в області становив 123,1%.

На споживчому ринку області ціни на продукти харчування та безалкогольні напої зросли на 25,2%.

З продуктів харчування найбільше (у 2,6 раза) подорожчав рис, у 2 рази - тваринні жири; на 44,5-40,8% - яйця та фрукти; на 33,3-30,9% - м'ясо та м'ясопродукти, риба та продукти з риби, макаронні вироби, шоколад, чай, маргарин; на 26,8-23,4% - джеми, повидло, мед, кондитерські вироби з цукру та борошна, хліб; на 16,8-10,2% - кава, мінеральні води, фруктові соки, цукор, молоко, масло. На 31,7% зросли ціни на тютюнові вироби, на 16,2% - на алкогольні напої.

Ціни (тарифи) на житло, воду, електроенергію, газ та інші види палива підвищилися на 26,2% (у т.ч. проживання в гуртожитках - в 1,6 раза, природний газ - на 54,1%, каналізація та водопостачання - на 35,2-32,5%, квартирна плата - на 32,1%, гаряча вода та опалення - на 21,8%).

На 28,4% дорожчими стали предмети домашнього вжитку та побутова техніка, на 4,5% - одяг і взуття.

У сфері охорони здоров'я ціни зросли на 25,2%. При цьому послуги санаторно-курортних установ подорожчали на 39,9%, амбулаторні послуги - на 26%, фармацевтична продукція та медичні товари - на 14,6%.

Транспорт у цілому став дорожчим на 16,5%, в основному, за рахунок підвищення вартості проїзду в залізничному (на 25,1%) та автодорожньому (на 24%) пасажирському транспорті.

Освіта подорожчала на 38,1%, за рахунок зростання плати за навчання на курсах (в 1,7 раза), послуги дошкільних закладів (майже в 1,6 раза), навчання у вищих (на 32,6%) та середніх (на 15,4%) учбових закладах.

На 27,5% подорожчали відпочинок і культура, на 24,9% - послуги ресторанів та готелів.

Індекс цін виробників промислової продукції за 2008р. становив 120,8%.

ДОХОДИ НАСЕЛЕННЯ

За попередніми даними, у 2008р. на підприємствах, в організаціях та установах області (крім статистично визначених малих підприємств) у середньому було зайнято 256,2 тис. штатних працівників, що на 2,7% менше, ніж у 2007р.

Номінальна заробітна плата одного штатного працівника, порівняно з 2007р., збільшилася на 34,8% і становила в середньому 1370 грн. за місяць. Реальна заробітна плата, визначена з урахуванням цінового фактора, зросла на 7,5%. Нарахування за одну оплачену годину становили 8,91 грн.

Серед найбільш високооплачуваних були працівники добувної промисловості, виробництва паперу, картону та виробів із них, виробництва коксу, продуктів нафтоперероблення, управління у сферах фінансової та податкової діяльності, залізничного та трубопровідного транспорту, грошового та фінансового посередництва, діяльності у сферах обов'язкового соціального страхування, юстиції та правосуддя, де нарахування в 1,8-2,4 раза перевищили середній показник в економіці області. Водночас, розміри заробітної плати в працівників мисливства, рибальства, рибництва, барів, їдалень, виробництва дерев'яних будівельних конструкцій та столярних виробів не перевищували 53,7% середньообласного показника.

Зберігався високий ступінь диференціації заробітної плати за районами. Так, заробітна плата працюючих у Коропському районі (992 грн.) була на 27,6% меншою від середньообласного показника, а найбільший рівень оплати праці (2047 грн.), як і раніше, був у м.Прилуках.

Сума невиплаченої заробітної плати на економічно активних підприємствах на 1 січня 2009р. становила 14,9 млн.грн. У відношенні до 1 січня 2008р. її розміри збільшилися у 6,9 раза.

Найбільша заборгованість зберігається в промисловості (35,1% від загальної суми) та сільському господарстві (28,7%).

Станом на 1 січня 2009р. заробітну плату в установлений термін не одержали 9,4 тис. працівників (4% загальної кількості). Середній розмір боргу одному працівнику становив 1343 грн., що дорівнює 0,9 середньої заробітної плати, нарахованої за грудень 2008р.

Крім того, працівникам області заборговано 344,5 тис.грн. допомоги у зв'язку з тимчасовою втратою працездатності.

Упродовж 2008 року субсидії для відшкодування витрат на оплату житлово-комунальних послуг та електроенергії призначені 63,1 тис. сімей (93,0% тих, що звернулися). Середній розмір субсидії, призначеної одній сім'ї в грудні, становив 91 грн.

Сума нарахованих з початку року субсидій становила 18,3 млн. грн. У грудні їх отримували 35,6 тис. сімей.

Крім того, населенню області надавалася допомога на придбання твердого палива та скрапленого газу готівкою. За такою допомогою звернулися 20,5 тис. сімей, призначені субсидії 18,2 тис. сімей на суму 6,7 млн. грн. За рік отримали цей вид допомоги 18,1 тис. сімей у сумі 6,7 млн. грн. Середній розмір її склав 368 грн.

За січень-листопад населенням області сплачено за житлово-комунальні послуги 358,5 млн.грн., що становить 100,2% нарахованих сум.

Заборгованість населення організаціям-надавачам послуг на 1 грудня (включаючи борги попередніх років) становила 70,5 млн.грн. З них 37,6 млн.грн. - це борг за централізоване опалення. Крім того, 10 млн. грн. становив борг за електроенергію і 2,1 млн. грн. - за житлово-комунальні послуги підприємствам-банкрутам та організаціям, що припинили діяльність.

На кінець листопада боржниками за 3 місяці й більше були: за централізоване опалення - 43,7% власників особових рахунків, за вивезення побутових відходів - 35,0%, за утримання будинків і споруд та прибудинкових територій - 26,3%, за водовідведення - 20,4%, за газопостачання - 18,8%, за постачання холодної та гарячої води - 10,8%. Крім того, за електроенергію - 18,3% користувачів.

РИНОК ПРАЦІ

За даними державної служби зайнятості, у 2008р. її послугами скористалися 80,2 тис. не зайнятих трудовою діяльністю громадян проти 71,7 тис. у 2007р.

Чисельність громадян, які мали статус безробітних, на 1 січня 2009р. становила 30,6 тис. осіб, що на 9,9 тис. осіб (в 1,5 раза) більше, ніж рік тому.

З кожних 100 безробітних, які перебували на обліку на 1 січня 2009р., кожен другий раніше займав місце робітника, кожен четвертий - посаду службовця. Решта - це особи без професії або такі, які займали місця, що не потребують спеціальної підготовки.

Рівень зареєстрованого безробіття на 1 січня 2009р. становив 4,7% населення працездатного віку проти 3,2% рік тому.

Його розмір коливався від 2,1% в м.Ніжині до 11,3% в Городнянському районі. Рівень зареєстрованого безробіття сільського населення (6,7%) був вищим, ніж серед мешканців міських поселень (3,7%).

За повідомленнями підприємств, установ та організацій, кількість вільних робочих місць та вакантних посад на початок січня 2009р. становила 2,2 тис., що у 2,1 раза менше, ніж рік тому. Навантаження на одне вакантне місце збільшилося з 5 до 15 осіб.

За сприяння служб зайнятості впродовж 2008р. було працевлаштовано 32 тис. осіб, що на рівні 2007р.

Серед працевлаштованих майже половину складали жінки, стільки ж - молодь у віці до 35 років, кожен десятий потребував особливого соціального захисту.

Без вирішення питання працевлаштування з обліку державної служби зайнятості було знято 16,3 тис. осіб, що на 12,1% менше, ніж рік тому.

З Фонду загальнообов'язкового державного соціального страхування на випадок безробіття на допомогу безробітним за рік виплачено 82,3 млн.грн. Середньомісячний розмір допомоги одному безробітному становив 443,29 грн.

ПРАВОПОРУШЕННЯ

За 2008р. органами внутрішніх справ області зареєстровано 7026 злочинів (на 3,3% менше, ніж у 2007р.), з них 2448 (34,8%) - тяжкі та особливо тяжкі. У загальній кількості злочинів 89,8% (6310) становлять злочини загальнокримінальної спрямованості. За видами злочинів найбільша частка (41,2%) - це злочини проти власності, 14,5% - злочини у сфері обігу наркотичних засобів, психотропних речовин, їх аналогів або прекурсорів та інші злочини проти здоров'я населення, 8,9% - злочини проти життя й здоров'я особи. Потерпіли від злочинів 3984 особи, з них 312 - загинули.

Менше, ніж у 2007р., зареєстровано злочинів у сфері господарської діяльності (в 1,8 раза), проти виборчих, трудових та інших особистих прав і свобод людини й громадянина (в 1,5 раза), випадків незаконного заволодіння транспортним засобом (на 31,1%), згвалтувань та спроб згвалтування (на 26,9%), розбійних нападів (на 20,0%), утягнення неповнолітніх у злочинну діяльність (на 19,5%), випадків порушення правил безпеки дорожнього руху (на 13,6%), хуліганства (на 9,9%), умисних убивств та замахів на вбивство (на 8,6%) тощо.

У той же час збільшилася кількість випадків торгівлі людьми або інших незаконних угод щодо передачі людини (у 2,2 раза), злочинів проти волі, честі та гідності особи (в 1,9 раза), випадків шахрайства (на 45,8%), злочинів проти довкілля (на 20,5%), проти авторитету органів державної влади, органів місцевого самоврядування та об'єднань громадян (на 16,6%), випадків грабежу (на 11,9%) тощо.

Неповнолітніми або за їх участю скоєно 228 злочинів, що на 29,8% менше, ніж рік тому.

Упродовж 2008р. було виявлено 4103 особи з числа тих, які підозрювались у скоєнні злочинів, з них у відношенні 3896 осіб (95%) кримінальні справи направлені до суду. Серед виявлених - 57,2% були в працездатному віці, але не працювали й не навчалися, 18,4% вчиняли злочини раніше. З числа виявлених осіб кожен п'ятий перебував у стані алкогольного сп'яніння, 17,0% становили жінки, 5,1% - неповнолітні.

ДЕМОГРАФІЧНА СИТУАЦІЯ

Упродовж січня-листопада 2008р. в області народилося 9,1 тис. немовлят, що на 4,1% більше, ніж у відповідному періоді 2007р. Померло - 21,7 тис. осіб (на 2,9% менше, ніж у січні-листопаді 2007р.). У розрахунку на 1000 населення інтенсивність народжуваності зросла з 8,4 до 8,8 немовляти, а рівень смертності зменшився з 21,3 до 21 померлого.

Міграційний відтік населення, порівняно із січнем-листопадом 2007р., зменшився з 1,1 тис. до 0,7 тис. осіб.

Чисельність жителів області зменшилася на 13,2 тис. осіб і, за розрахунками, на 1 грудня 2008р. складала 1122,7 тис. осіб.

***